I/Vアンプ(電流/電圧変換増幅器)
エヌエフのI/Vアンプ
微小な電流信号検出に役立つ、エヌエフのI/Vアンプの特長をご紹介します。
特長
1. 他社を凌ぐ周波数特性を実現
電流を電圧に変換するI/Vアンプの構成は、オペアンプに抵抗でフィードバックをかける方式が一般的です。
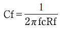
図1に基本回路を示します。この回路の利得は帰還抵抗Rfで決まります。また、高域遮断周波数は、帰還容量CfとRfで決まります。
CfとRfによって決まるので、利得帯域幅積の大きなオペアンプを使っても、I/Vアンプの高域遮断周波数を高くすることはできません。

帯域を伸ばすためにCfの容量を減らしていっても、一般的な部品/回路の寄生容量によってCfを0.1pFより小さくすることは困難です。帰還抵抗Rfが10GΩで、寄生容量による帰還容量が0.1pFあると、高域遮断周波数は160Hzにしかなりません。0.1pFの帰還容量に対する高域遮断周波数を、表1に示します。
| 帰還抵抗 Rf(Ω) | 帰還容量 Cf(F) | 高域遮断周波数(Hz) |
|---|---|---|
| 10M | 0.1p | 160k |
| 100M | 16k | |
| 1G | 1.6k | |
| 10G | 160 | |
| 100G | 16 | |
| 1T | 1.6 |
エヌエフのSA-600/CA-550/CA-650シリーズは回路構成と部品実装の工夫、調整により、寄生容量による帰還容量を等価的に0.1pFより小さくし、高い高域遮断周波数を実現しました。表2にエヌエフのSA-600/CA-550/CA-650シリーズの高域遮断周波数と帰還抵抗(利得)、等価帰還容量を示します。
| 型名 | 高域遮断周波数 fc(Hz) |
帰還抵抗 Rf(Ω) |
等価帰還容量 Cf(F) |
|---|---|---|---|
| SA-604F2/CA-554F2/CA-654F2 | 500k | 10M | 32f |
| SA-605F2/CA-555F2/CA-655F2 | 250k | 100M | 6.4f |
| SA-606F2/CA-556F2/CA-656F2 | 100k | 1G | 1.6f |
| SA-607F2/CA-557F2/CA-657F2 | 20k | 10G | 0.8f |
| SA-608F2 | 2k | 100G | 0.8f |
| SA-609F2 | 300 | 1T | 0.53f |
※等価帰還容量 : 高域遮断周波数と帰還抵抗から計算した帰還容量

表3に高域遮断周波数の他社製品との比較を示します。表3よりエヌエフのSA-600/CA-550/CA-650シリーズは他社製品を凌ぐ広帯域特性を実現していることがわかります。
| 利得(V/A) | エヌエフ SA-600/CA-550/CA-650 シリーズ(Hz) |
A社 利得固定スタンドアロン型 (Hz) |
C社 利得切換筐体型 (Hz) |
|---|---|---|---|
| 10M | 500k | 400k | 23k |
| 100M | 250k | 40k | 8.8k |
| 1G | 100k | 4k | 3.5k |
| 10G | 20k | 200 | 1.4k |
| 100G | 2k | 200 | 1.4k |
| 1T | 300 | 30 | ー |
※2022年12月8日調査
図2、3は±5nAの方形波電流を入力したときのパルス応答波形です。エヌエフのSA-607F2とC社I/Vアンプを比較しました。ともに利得は10GV/Aです。図2の1kHzのパルスの場合、SA-607F2の立ちあがり時間はC社I/Vアンプの20倍早く立ち上がっています。また、C社のI/Vアンプは10kHzの信号を増幅することができていませんが、SA-607F2では、信号が出力されていることがわかります。

図2 f=1kHzのパルス応答波形

図3 f=10kHzのパルス応答波形
※2017年6月16日調査
立ち上がり時間の比較
| エヌエフ | C社 |
|---|---|
| SA-607F2 | 13μs |
| I/Vアンプ | 260μs |
Topics
微小電流測定の限界に挑戦
広帯域電流増幅器 SA-600シリーズを用いた観測波形を動画でご紹介します。(約3分 MP4:25,500KB)
電流アンプの不安定動作の原因と対策
電流アンプの動作を等価回路などから技術的に解説した動画です。(約3分 MP4:9,400KB)
2. センサ容量によらず安定
入力に大きな容量が付いても安定動作
入力の容量と安定動作の関係について、オペアンプに抵抗でフィードバックをかけた構成のI/Vアンプで説明します(図4)。このI/Vアンプの入力部の等価回路を図4に示します。


周波数特性

図4 オペアンプを用いたフィードバック型アンプ
オペアンプのDCでのオープンループ利得をAv、ユニティゲイン周波数をfとすると入力等価回路の定数は下記になります。
Lz(H)=Rf/(2・π・fт)
Rz(Ω)=Rf/(1+Av)
RDMP(Ω)=1/(2・π・fт・Cf)
※Cfはダンピング抵抗と等価
ここで、センサの出力容量や、信号源からI/Vアンプの入力までのケーブルの容量など、入力につく容量Csを等価回路に加えます。Csを加えた等価回路は図5のような並列共振回路となり、不安定になる可能性があります。
図5の入力部等価回路で、ダンピング抵抗として働くRDMPは、Cfに依存するので,安定性を得るためには、Csに応じたCfが必要になります。

図6はCsが10pFの時に周波数特性が最適になるようなCfを付けたときの、利得の周波数特性です。帰還抵抗と信号源抵抗はそれぞれ1GΩとしています。Csが100pFになると高域遮断周波数付近で少し利得があがり、Csが1000pFになると大きなピークが生じていることがわかります。

前の節での説明で、高域遮断周波数を高くするためには、Cfを小さくする必要があることがわかりましたが,入力に容量Csがつく場合、安定性を得るためにCfを大きくする必要があります。これにより、安定性と高域遮断周波数のトレードオフが生じます。
エヌエフのSA-600/CA-550/CA-650シリーズは回路の工夫により、入力にCsがついたとしても共振しない構成です。この構成により,Cfを付けることなくCsによる不安定性を避けることができ、広帯域かつ安定動作を実現しております。図7にSA-606F2の利得の周波数特性を示します。Csが10pF、100pF、1000pFのときそれぞれに対して、安定した周波数特性であることがわかります。
なお、Csに相当するケーブルやフォトダイオードの一般的な容量値を表4に示します。

図7 SA-606F2の利得周波数特性
| 並列容量 | |
|---|---|
| 50Ω BNCケーブル | 約100pF/m |
| 75Ω BNCケーブル | 約67pF/m |
| フォトダイオード(小型) | 数pF~100pF程度 |
| フォトダイオード(大型) | 100pF~1000pF程度 |
表4 ケーブルやフォトダイオードの容量値
3. 世界最高レベルの低雑音
図8に、SA-607F2(利得10GV/A、高域遮断周波数20kHz)とC社の筐体型I/Vアンプ(利得10GV/A、高域遮断周波数1.4kHz)の出力雑音電圧密度の測定結果を示します。測定周波数は10Hzから1kHzで、I/Vアンプの帯域内の出力雑音電圧密度を示しています。

※2017年6月16日調査
SA-607F2の雑音電圧密度は、C社の筐体型I/Vアンプよりも8dBほど低いことがわかります(約60%減)。また、C社の筐体型I/Vアンプはハム雑音が出力に出ていますが、SA-607F2にはありません。
SA-607F2の雑音が小さいのは、I/Vアンプを構成しているアンプの性能によるものです。I/Vアンプの低周波での雑音は、帰還抵抗による雑音と、I/Vアンプを構成しているアンプの入力換算雑音電流密度で決まります。エヌエフのSA-600/CA-650/CA-550シリーズの内部で使用しているアンプは、最適な性能を有するディスクリート部品を組み合わせて設計した低雑音のアンプです。これらのI/Vアンプの出力雑音電圧は、帰還抵抗による雑音レベルに近い値となります。帰還抵抗で利得を決めるI/Vアンプの構成上、利得を決めると帰還抵抗が決まるので、雑音は構成上最小となるノイズレベルに近い値となっています。
一方、ハム雑音の影響ですが、C社の筐体型I/Vアンプは電源を内蔵しているため、ハム雑音の混入をおこしやすいと考えられます。SA-600シリーズは電源から離して設置することができるので、ハム雑音の混入を抑えることが可能です。
微小な電流信号を測定するために
微小な電流信号を測定するためには、低雑音のI/Vアンプを使用することが重要なのは言うまでもありません。さらに、適切な測定機器の設置や最適な測定条件に設定することが大切です。ここでは、微小な電流信号を測定する際に注意するべき点を紹介します。
1. 信号増幅前の雑音低減方法
センサからI/Vアンプで増幅するまでの入力部において、主に下記2点に注意する必要があります。
- 外乱の影響を小さくする
- I/Vアンプの入力付加容量Csを小さくする
外来雑音の影響を小さくする
I/Vアンプの入力部の信号レベルは小さいため、外来雑音による影響を最小限にすることが重要です。外来雑音を低減するためには、下記の対策が効果的です。
- センサからI/Vアンプの入力までの配線を可能な限り短くする。
- ケーブルには同軸ケーブル等のシールドされた線材を使用する。シールドされた線材を使用できない場合、銅箔やアルミテープでシールドする、またはシールドケースに収納する。
- 直流電源などのトランスを内蔵した機器(磁気を発生する物)がある場合、センサおよびI/Vアンプをできるだけ離す(1 m以上離すと効果的)。
- I/Vアンプやケーブルを振動の少ない場所に設置・固定する。(ケーブルが振動すると、マイクロフォニックノイズを発生する場合があります。利得が高いI/Vアンプでは音(声)やFAN等による振動も影響する場合があります。)
- I/Vアンプを取り付ける場所が金属等の導電体である場合、I/Vアンプと取付対象を絶縁する(GNDループによる雑音の影響を小さくできます)。なお、SA-600シリーズに付属の絶縁型ボトムプレートをご使用頂くと、簡単に絶縁できます。
I/Vアンプの入力付加容量Csを小さくする
一般的に、I/VアンプのCsが大きくなると、下記のような影響があります。
a) I/Vアンプの動作が不安定になる
b) 雑音が増加する
a)については、I/Vアンプの特長の「入力に大きな容量が付いても安定動作」で説明しましたので、ここでの説明は割愛します。なお、弊社のSA-600シリーズを使うことでCsによらず、安定したI/Vアンプの動作が実現可能です。
b)について、図1に示す一般的なI/Vアンプの回路図と入力換算雑音電流のグラフを用いて説明します。
図9に示すように、入力換算雑音電流は周波数が高くなるに伴い増加し、I/Vアンプ内部回路の動作範囲を超えると減衰します。Csが大きいと、入力換算雑音電流はより低い周波数から増加し始めるため、雑音電流は大きくなります。


図9 一般的なI/Vアンプの回路図と入力換算電流雑音
図10に、SA-607F2(LPF設定=THRU)においてCsが10pFと1000pFのときの出力雑音波形を示します。Csが100倍大きくなると、出力雑音が10倍以上になっており、微小信号検出のためにはCsを小さくすることが重要であることがわかります。
Csを小さくするためには、容量の小さいセンサの選定、センサからI/Vアンプまでの配線長を可能な限り短くすること、容量の小さいケーブル(特性インピーダンスが大きなケーブル)の選定が効果的です。なお、参考としてBNC同軸ケーブルの種類とその容量値を表1に示します。一般的に販売されている同軸ケーブルの特性インピーダンスは50Ωまたは75Ωです。これらのケーブルをできるだけ短くして使うことが簡単にCsを小さくできる方法です。


図10 Csに対する出力電圧波形
| 特性インピーダンス | 同軸ケーブル | 容量 |
|---|---|---|
| 50Ω | 3D-2V等、RG-8/u等 | 約100pF/m |
| 75Ω | 3C-2V等、RG-11/u等 | 約67pF/m |
| 95Ω | RG-22/u等 | 約53pF/m |
| 125Ω | RG-63/u等 | 約33pF/m |
2. 信号増幅後の雑音低減方法
I/Vアンプで増幅した後、雑音を低減する方法は主に下記の2点があります。
- 適切な測定帯域に設定する
- 平均化処理によるS/N比向上
適切な測定帯域に設定する
雑音を小さくするためには適切な測定帯域を選択し、不要な周波数帯域の雑音成分を除去することが効果的です。特に、雑音の振幅レベルが同じでも、高い周波数ほどエネルギーが大きいため、不要な高域の雑音成分を除去することが重要です。
図11にI/Vアンプの出力にLPF(1次, fc=1kHz)を追加したときの出力波形を示します。LPFがないときに比べ、LPFを追加すると雑音が低減して出力波形がきれいに表示されています。このように、測定したい信号帯域に対して適切な測定帯域に設定することで、S/N比が向上でき、より微小な電流信号を検出することが可能になります。
なお、実測例としてSA-607F2を使用して1pAp-pのリアルタイム信号の検出に成功しました。測定結果は「信号検出限界への挑戦―pAのリアルタイム信号検出―」を参照してください。



図11 測定帯域の違いによる出力波形比較
また、測定したい信号波形に対する測定帯域の設定値の目安を表6に示します。
ただし、表6はあくまで目安であり、お客様の測定内容によって適切な測定帯域は様々です。そのため、弊社は各種フィルタを用意しております。フィルタに関する情報は計測お役立ち情報の「プリアンプとフィルタの使い方」にもございますので、ご参照ください。
| 測定信号波形 | LPFの遮断周波数 |
|---|---|
| 正弦波 | 信号周波数の3~5倍 |
| 方形波 | 信号周波数の約10倍 |
| 三角波 |
信号周波数の7から10倍 |
| 種類 | 概要 | 製品 |
|---|---|---|
| 周波数可変フィルタ | 遮断周波数を自由に設定できるフィルタ |
|
| 多チャネルアナログ信号前処理システム | フィルタ、差動アンプ、アイソレーションアンプなどを必要チャネル数で構成できる、多チャネルアナログ信号前処理システム |
|
| フィルタモジュール | 基板実装型のフィルタモジュール |
|
| モジュール組込フィルタ | フィルタモジュールを組み込んだ電源付収納ケース | ※各種フィルタモジュールを組み込める収納ケースをご用意しています。 |
平均化処理によるS/N比の向上
適切な測定系や測定条件を整えても、センサからの微小信号が雑音に埋もれて信号検出できない場合があります。このような状態でも、平均化処理によって微小信号を検出できる場合があります。平均化処理によって微小信号を検出できる場合の条件は下記の通りです。
a) 雑音成分がランダム雑音である。
b) 検出したい信号が繰り返し波形である。
c) 検出したい信号の同期信号がある。
図12に測定系のブロック図と平均化処理有り/無し時のI/Vアンプの出力波形を示しますが、平均化処理によって雑音に埋もれていた微小電流信号を検出できることがわかります。
平均化処理をする際、測定器の適切な測定レンジ設定が重要です。例えば、オシロスコープの平均化機能を使用する場合を考えます。I/Vアンプの出力電圧波形がオシロスコープの測定レンジを超える場合、測定範囲を超えた部分の出力波形はクランプされ、信号成分も含めて除去されるため、正確な信号が検出できなくなります。また、オシロスコープの測定レンジが大きすぎる場合、検出する信号レベルがオシロスコープの測定分解能以下になると、どんなに平均化してランダム雑音成分を除去しても信号は検出できません。従って、平均化処理により改善できるS/N比は測定器のダイナミックレンジによって決まります。
このように、測定したい信号レベルと、信号に重畳している雑音レベルを考慮して、適切な測定器と、測定レンジに設定することが大切です。
なお、実測例としてSA-607F2を使用して10fAp-pの繰り返し信号の検出に成功しました。測定結果は「信号検出限界への挑戦―fAの繰り返し信号検出―」を参照してください。



図12 平均化処理による出力波形の比較
アプリケーション
1. 高抵抗値の測定
1 TΩ抵抗を測定する場合の例を図1に示します。(a)は電圧アンプを使用した場合で、(b)は電流アンプを使用した場合です。
電圧アンプを使用した場合は標準抵抗器などの既知の抵抗値が必要で、かつ標準抵抗器よりもはるかに高入力インピーダンスのアンプが必要になります。


図1 高抵抗値の測定方法
図2にアンプ出力電圧V2の応答波形を示しますが、DUTと標準抵抗器が1TΩと非常に大きいため、10pFの寄生容量でも、時定数が10sのローパスフィルタになってしまい、測定に時間がかかります。また、測定系のインピーダンスが非常に高いため、外来雑音の影響も受けやすくなります(図2 (a))。
一方、電流アンプを使用した場合の応答波形は、電圧アンプに比べ応答性能が非常に速いことがわかります(図2(b))。電流アンプの入力インピーダンスは内部回路のおよそ1 / (オープンループ利得)になるのでインピーダンスは小さくなり、寄生容量がついても電圧アンプほど応答速度が遅くなりません。また、入力インピーダンスが小さいため、外来雑音の影響も受けにくくなります。また、標準抵抗器などの既知の抵抗器は不要です。


図2 高抵抗値の測定方法
2. 低リークダイオードの0V付近の絶縁抵抗測定
ダイオードは保護回路等でよく使用されていますが、微小電流測定では、0V付近のダイオードの絶縁抵抗が十分かどうか評価する必要があります。ダイオードに0Vから10mV印加したときのリーク電流測定系と測定結果を図3に示します。このように、0V付近で非常に絶縁抵抗が高い場合でも特性を評価できます。


図3 低リークダイオードの絶縁抵抗測定系と測定結果
3. ハイサイドの電流検出
一般的な電流アンプによる測定
一般的な電流アンプの回路図を図4に示します。一般的な電流アンプは入力端子電圧が0V基準で動作するため、ローサイドの電流検出はできますが、ハイサイドの電流検出は困難です。

ハイサイドの電流検出はシャント抵抗を測定したい電流経路に入れて、シャント抵抗で生じる電圧を測定する方法があります。しかし、検出したい電流が微小だとRsを大きくする必要があり、Rsを大きくすることで熱雑音が増加してうまく測定することができなくなります。

入力端子にバイアス電圧が印加できる電流アンプ
電流アンプSA-600シリーズをベースに、電流入力端子にバイアス電圧が印加できる回路を開発しました。開発した電流アンプは電流入力端子IIN と電圧入力端子VIN を持ち、VIN 端子とIIN 端子の電圧が同じになるように動作します。これにより、VIN 端子でバイアス電圧を印加することで、DUTへのバイアス電圧印加と、DUTからの電流信号検出を同時に行うことができます。

バイアス電圧の印加と電流検出が同時にできる測定器としてソースメータがあります。ソースメータは幅広い電圧印加/電流検出が可能ですが、筐体サイズが大きいためDUTまでケーブルを伸ばして接続する必要があります。一般的にケーブル等によって入力に付加される容量が大きくなると出力雑音が大きくなり、ケーブルが長いと外乱雑音の影響を受けやすくなることから、微小電流を検出する場合はDUT直近に測定器を接続することが重要です。開発したカスタム電流アンプは小型で、DUT直近に接続できるので、低雑音で微小電流検出が可能です。